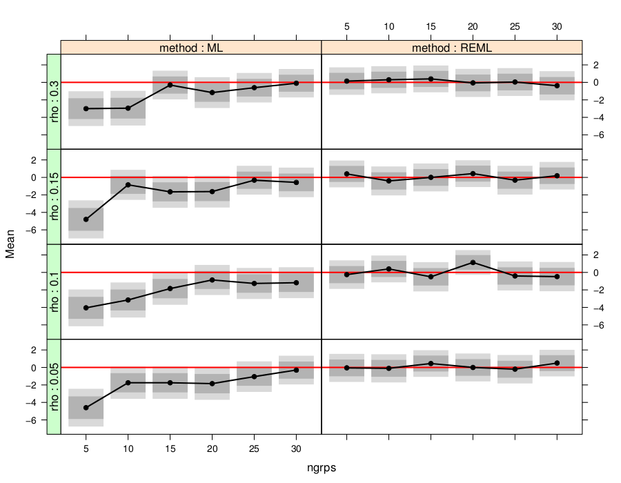
In a recent article published in AJPS it is claimed that Bayesian estimators have a superior performance in the estimation of the influence of group-level covariates, especially if the number of groups/clusters is small. In the paper presented at EPSA, we show that the problems addressed by Bayesian techniques can also be adequately addressed by a frequentist technique, restricted maximum likelihood, without the problems involved in Bayesian estimation, such as the computational cost and the need to select an appropriate prior.
(Read more…)